【EV扑克】拿到弱牌不要慌!这四个防守技巧很实用

EV扑克|EV扑克官网|EV扑克下载|EV扑克电脑版|EV扑克娱乐场|EV扑克小游戏——EV扑克导航(www.…

【EV扑克】松浪局怎么玩?看完本文轻松拿捏!

 

【EV扑克】拿着7高诈唬大神Phil Ivey?你可真够勇!

尽管Vogelsang没有完成顺子同花听牌,他只有7高的牌,但河牌发出了超高T的牌对于Ivey而言是有一点危险的,毕竟现在他已不再是顶对。Vogelsang知道自己只能通过下注来赢取底池,他决定测试一下对手,全下121,000,让Ivey陷于艰难处境。

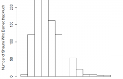
【EV扑克】几组数据看清线上MTT职牌真实生存现状!

不过这种好言相劝没有数据支持也只是空口无凭,所以在征得Shaun “SFD” Deeb同意后,我从数据网站调取了他过去两年的成绩,主要研究买入55刀—216刀报名数至少181人次的无限德扑赛事,由于网站不统计重买数据,所以我也移除掉了重买的比赛,而过滤后的赛事总共还剩3049场,得出的结果是:平均买入119.72刀,Shaun Deeb收益294,027刀,ROI高达81%,入圈率11.5%,。

【EV扑克】如何在5分钟内分析完自己打过的一手牌?

高手跟菜鸟不同,高手打完一个时段的游戏后,他们会回顾自己打过的牌局,会全盘分析每一个决策点,尽力去消除自己打法中的漏洞。高手一旦发现一个漏洞,他们就会想方设法修复这个打法上的漏洞,以防下一次再出现类似的错误。

【EV扑克】牌局分析:在小盲位拿到这手A5同花,该怎么打?

你加注到700,然后大盲玩家和UTG+1位玩家都跟注。翻牌是K♥2♦2♣。如果根据现场读牌你确信某个对手与公共牌联系紧密,那么带着对下注弃牌的意图过牌也是可行的。

【EV扑克】牌局分析:两位大神斗智斗勇 这个ALLIN你敢跟吗?

这手牌的盲注是500/1000美元,带一个200美元的前注。翻前分析他的2.3BB尺度也是一个好选择。在这种盲注结构,加注到2200美元至2300美元之间的任何数目就好。

【EV扑克】牌局分析:这手A高为什么敢在主赛最终桌跟注全下?

牌局分析“WSOP主赛直通车”无限送中秋狂欢,双喜临门:活动从9月9日至9月10日

【EV扑克】牌局分析:顺子被空气牌偷鸡,躺赚150,000美元底池!

盲注是50/100/200美元。Rampage(约127000美元)在按钮位置用5♥ 4♥加注到1500美元。Garrett随后在大盲位置用10♠ 9♠3bet到5200美元。Rampage跟注。

【EV扑克】翻牌击中底暗三撞上对手河牌完成顺子,这手牌到底哪里打错了?

小盲位的率先下注,是在这一手牌里的第一个大错误。率先下注会让对手处于防守的状态,大多数人只有在拿到坚果牌或者听很强的牌才会这么做。

返回顶部